电阻串并联连接的等效变换
概述


等效变换的主要作用是简化电路分析,求解的电路器件不能参与等效变换
串联等效

并联等效

”积在和上飞“
求等效电阻的方法


电阻星型联结与三角型联结的等效变换
通用情况

依次假定a,b,c节点悬空,可以得到三个等式,由此算出互换关系
特殊情况:电阻相等
R_{\Delta}=3R_Y
例题


电源的两种模型及其等效变换(重要)
电压源与电流源及其等效变换
变换过程




例题

如上图,多次运用等效变换,可以大幅简化电路
理想电压/电流源的的变换
电压串联,电流并联

电压并联,电流串联

例题


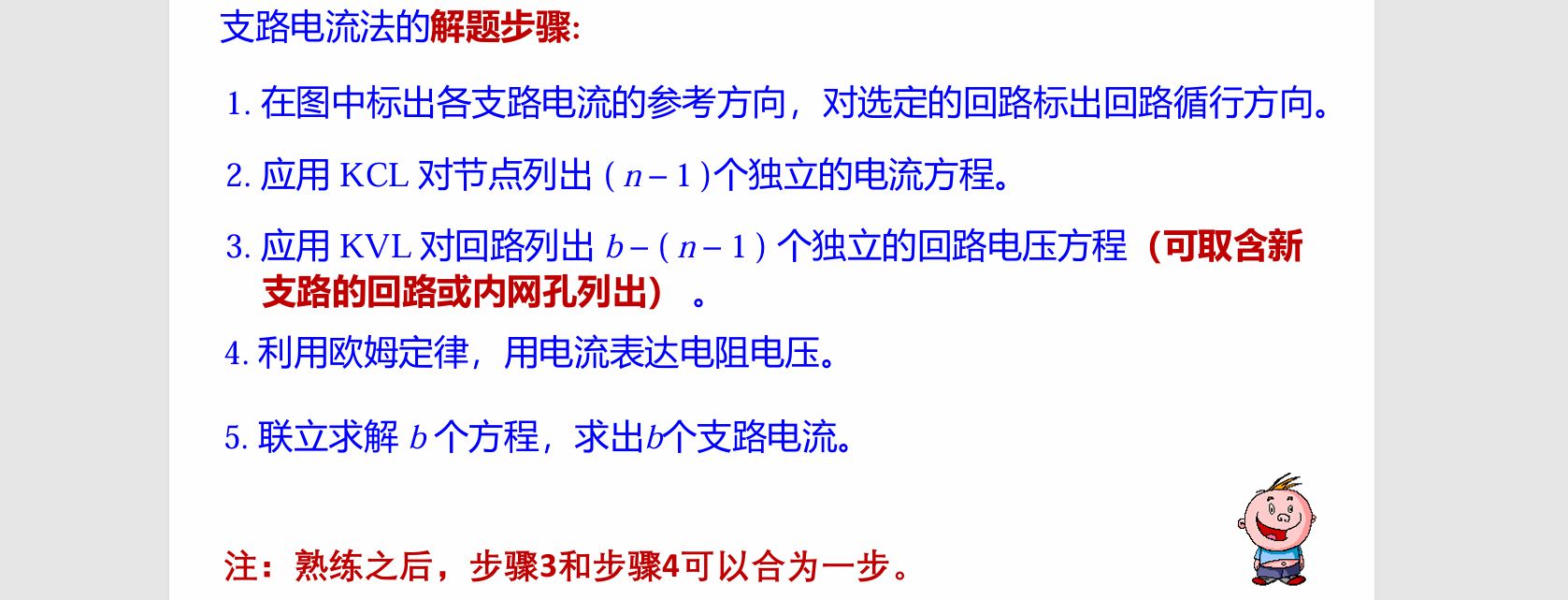
支路电流法




节点电压法(重要)




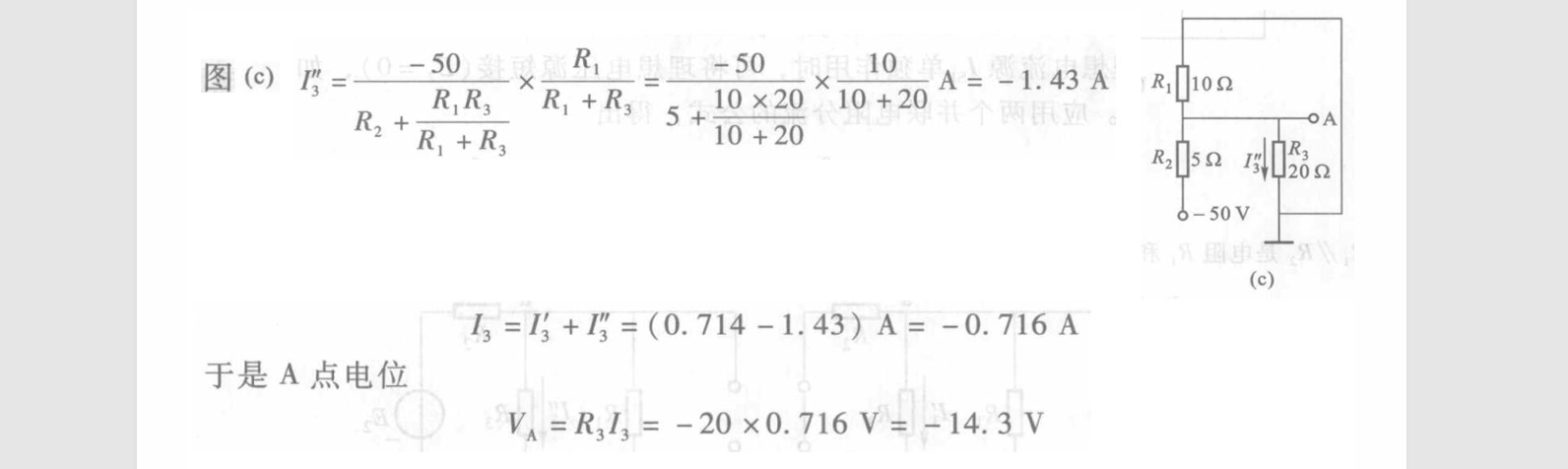
叠加原理






戴维宁定理和诺顿定理
戴维宁定理







诺顿定理




受控源电路的分析(重点)
受控源


含受控电源电路的分析





小结




非线性电阻电路的分析
概念

求法




默认评论
Halo系统提供的评论