概率统计1.1-随机事件及运算
随机试验的特点:
- 可重复性
- 随机性
- 不可预测性
随机事件的本质是:样本点的集合/样本空间的子集
事件关系与运算
- 包含关系
- 相等关系(互相包含)
- 并集(和事件)
- 交集(积事件)
- 差事件(A-B)
- 互不相容(互斥)
- 对立事件(互逆事件)
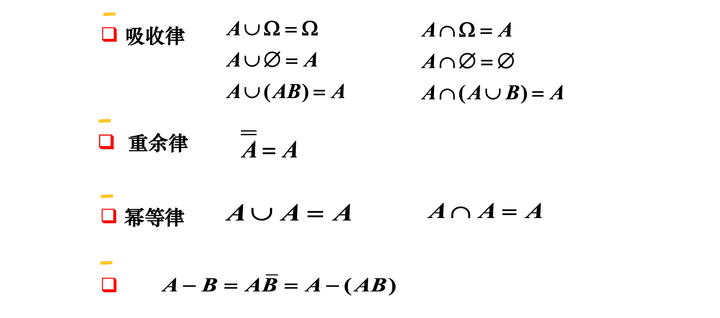
运算规律



概率统计1.2-古典概型与几何概型
古典概型特点
- 样本空间中只有有限个样本点
- 每个基本事件发生的可能性大小相同
古典概型例题



几何概型

Buffon投针实验
以针的中心点距离水平线的距离为横轴,角度为纵轴,通过面积比计算 \pi

概率统计定义
在 n 次试验中,设事件 A 发生了 n_A 次,则 f_n(A) = \dfrac{n_A}{n} 称为事件 A 在这 n 次试验中发生的频率。

概率统计的性质

概率的公理化定义和性质

两道例题



概率统计1.3-条件概率
条件概率
定义与性质



例题


全概率与贝叶斯公式
定义与性质


例题




概率统计1.4-事件独立性
定义

性质

多事件独立
定义

性质

例题


对于这题,将2单独进行讨论,可以套用上面的性质,简化计算。
默认评论
Halo系统提供的评论