随机变量的概念
概念
引例

定义


样例

分类
- 离散型
- 连续型
- 奇异型
随机变量的分布函数
定义

案例

性质

练习题


离散型随机变量
概念


性质


例子

常见的离散型随机变量
两点分布

二项分布




泊松定理
定理

近似计算


泊松分布



连续型随机变量
概念
定义


密度函数


例题

常见分布
均匀分布

指数分布



正态分布







随机变量函数的分布
离散型

连续型







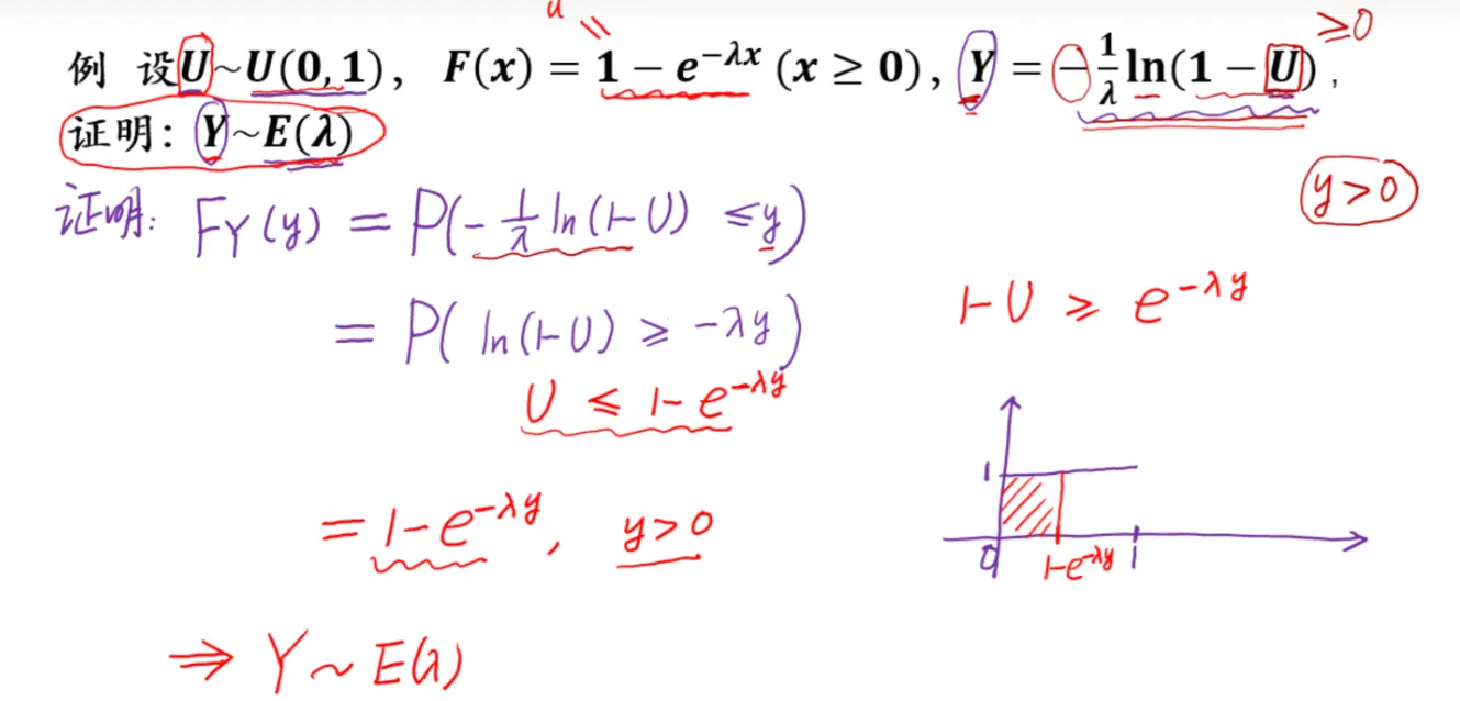
例题


蒙特卡洛仿真

文章摘要
智阅GPT



















































用键盘敲击出的不只是字符,更是一段段生活的剪影、一个个心底的梦想。希望我的文字能像一束光,在您阅读的瞬间,照亮某个角落,带来一丝温暖与共鸣。
estj 总经理
请您在转载、复制时注明本文 作者、链接及内容来源信息。 若涉及转载第三方内容,还需一同注明。
文章目录
展开侧栏
默认评论
Halo系统提供的评论