电工学第四章

FengYuchen
2025-10-18
点 赞
1
热 度
2
评 论
0

文章摘要

智阅GPT

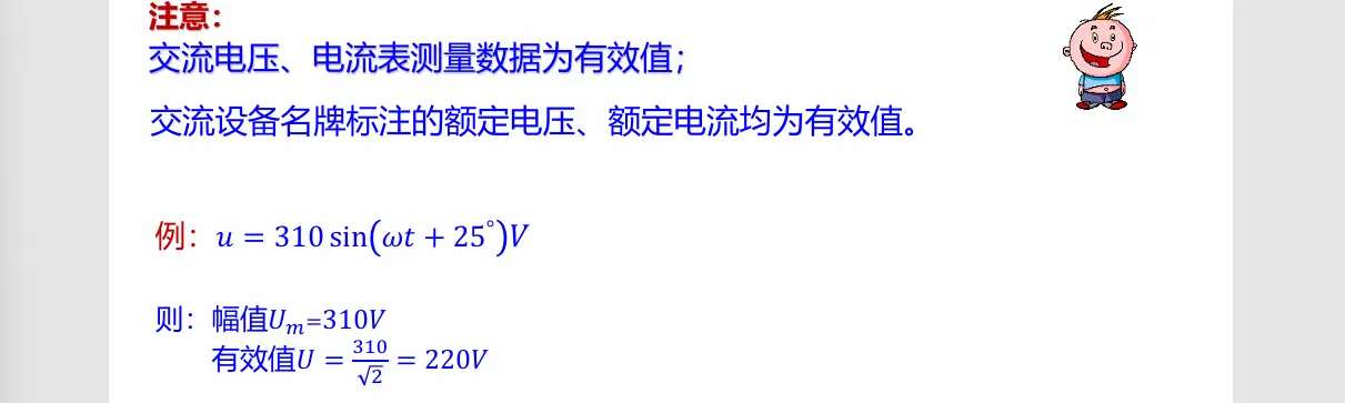
正弦电压与电流

image-20251018125527253

image-20251018125547808

image-20251018125605127

image-20251018125623871

image-20251018125638399

image-20251018125649862

image-20251018125701681

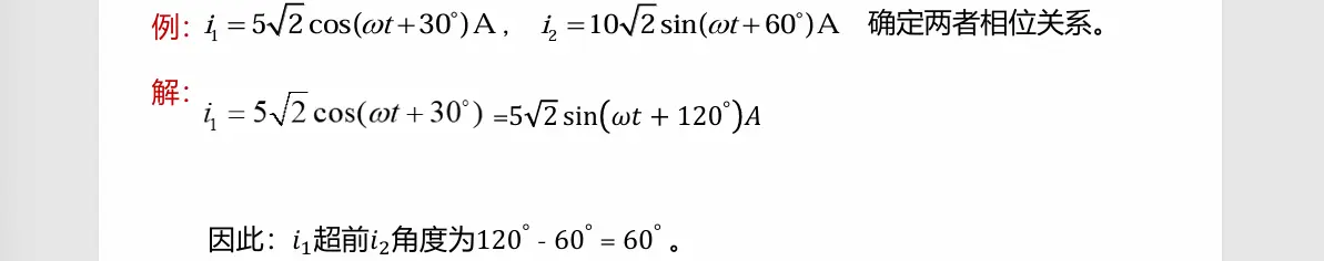
正弦量的相量表示法(重要)

image-20251018125733389

image-20251018125748181

image-20251018125803228

image-20251018125818271

image-20251018130016411

image-20251018130027701

image-20251018130058405

image-20251018130116011

image-20251018130134119

image-20251018130207107

image-20251018130240503

常用器件的相量模型

image-20251018130519490

image-20251018130545279

image-20251018130624101

image-20251018130638163

image-20251018130651880

image-20251018130703704

image-20251018130718604

电阻、电感与电容元件串联的交流电路

阻抗的串联与并联

复杂正弦稳态电路的分析与计算(重要)

正弦稳态电路的频率特性(谐振为重点)

功率因数的提高


用键盘敲击出的不只是字符,更是一段段生活的剪影、一个个心底的梦想。希望我的文字能像一束光,在您阅读的瞬间,照亮某个角落,带来一丝温暖与共鸣。

FengYuchen

estj 总经理

不具版权性
不具时效性

文章内容不具时效性。若文章内容有错误之处,请您批评指正。

目录

欢迎来到我的博客

20 文章数
8 分类数
2 评论数
10标签数