电介质极其极化











极化强度和极化电荷







介质中静电场的基本规律





电位移矢量





感应、极化、自由、束缚电荷



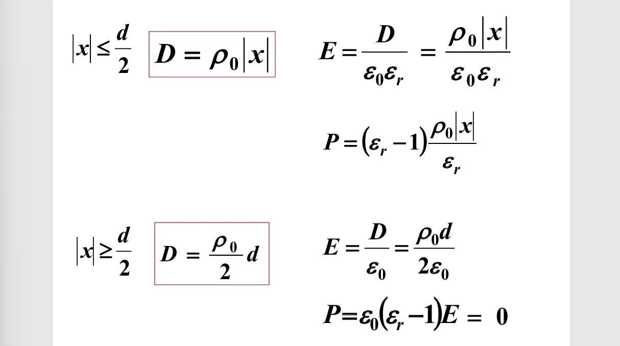
例题












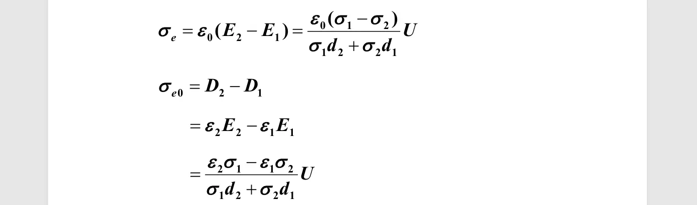
介质两侧电场的关系
概念



注意,D线连续但E线间断。
例题








静电场的能量

























文章摘要
智阅GPT













































注意,D线连续但E线间断。

































用键盘敲击出的不只是字符,更是一段段生活的剪影、一个个心底的梦想。希望我的文字能像一束光,在您阅读的瞬间,照亮某个角落,带来一丝温暖与共鸣。
estj 总经理
请您在转载、复制时注明本文 作者、链接及内容来源信息。 若涉及转载第三方内容,还需一同注明。
文章目录
展开侧栏
默认评论
Halo系统提供的评论