电工学第三章

FengYuchen
2025-10-15
点 赞
0
热 度
8
评 论
0

文章摘要

智阅GPT

动态元件

电容

image-20251014212628077

image-20251014212700181

电感

image-20251014212713293

image-20251014212739224

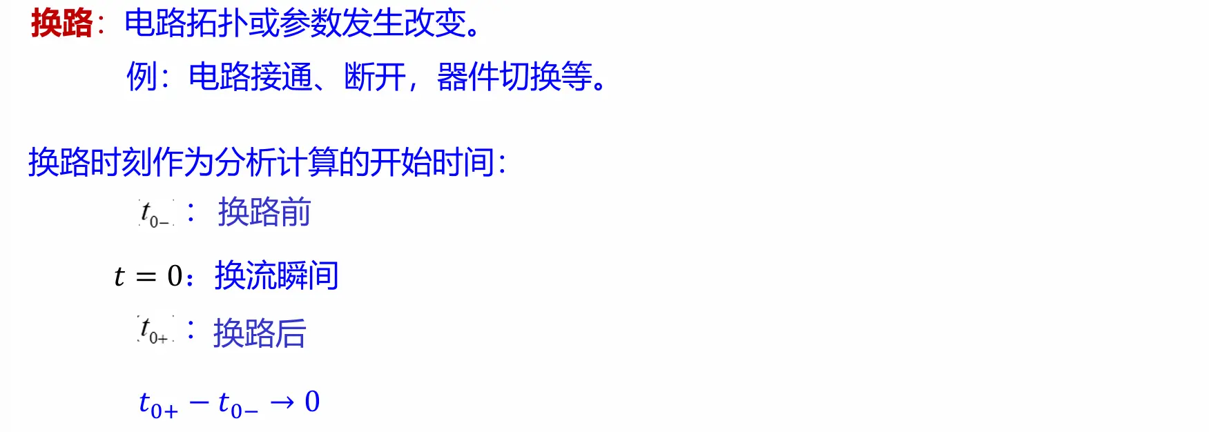
换路定则

image-20251014212811800

image-20251014212824838

image-20251015000602119

image-20251015000615499

image-20251015000630166

RC电路相应

image-20251015000642898

image-20251015000653559

image-20251015000705792

image-20251015000722248

image-20251015000732495

RL电路响应

image-20251015000748707

image-20251015000755773

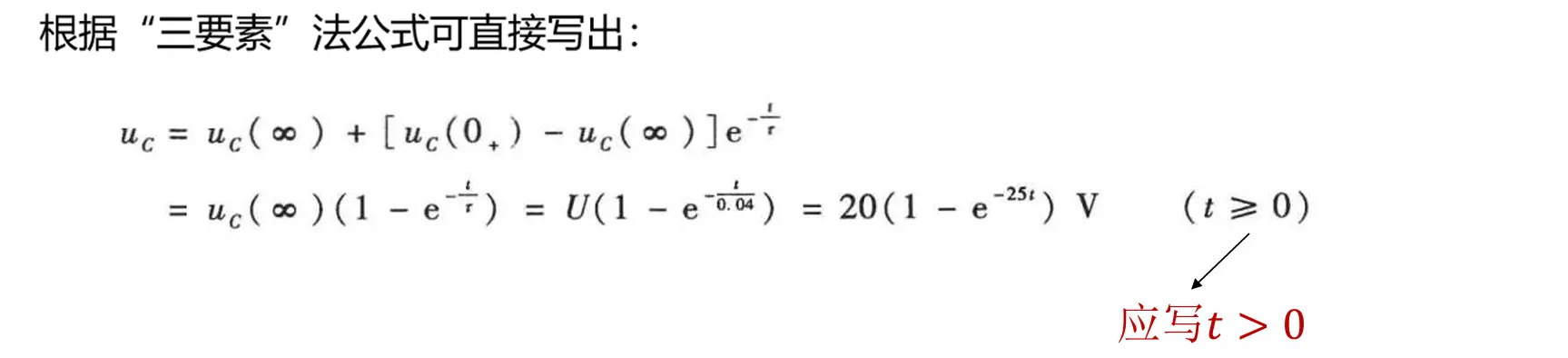
一阶线性电路三要素法

image-20251015000812431

image-20251015000821197

image-20251015000830544

image-20251015000837895

image-20251015000847322

image-20251015000903246

image-20251015000914342

image-20251015000921967

image-20251015000929019

image-20251015000936754

image-20251015000944471

image-20251015000953553

image-20251015001000222


用键盘敲击出的不只是字符,更是一段段生活的剪影、一个个心底的梦想。希望我的文字能像一束光,在您阅读的瞬间,照亮某个角落,带来一丝温暖与共鸣。

FengYuchen

estj 总经理

不具版权性
不具时效性

文章内容不具时效性。若文章内容有错误之处,请您批评指正。

欢迎来到我的博客

29 文章数
8 分类数
2 评论数
10标签数