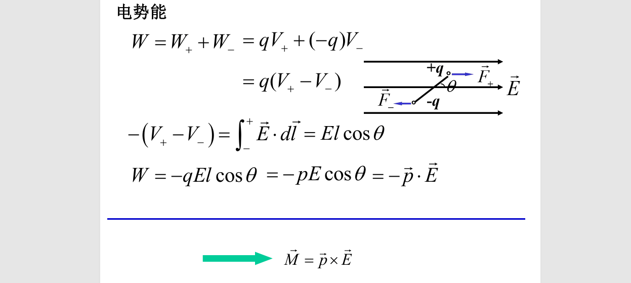
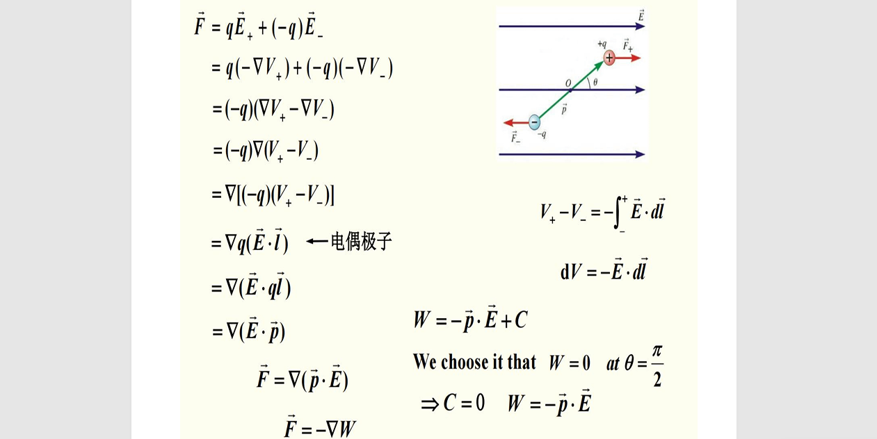
电力
- 质子与电子之间电力比引力强 39个数量级
- 长程力,存在于原子内部和宇宙天体之间
- 吸引与排斥两种形式
- 电力比磁力要强得多
电荷
性质
- 电荷具有正负性
- 电荷具有量子性,e = 1.6 \times 10^{-19} \, \text{C}
- 电荷具有守恒性,\sum q_i = \text{const}
- 电荷具有相对论不变性
点电荷模型试验基础
- 质子的散射实验表明质子线度 < 10^{-15} \, \text{m}
- 电子对撞实验表明电子线度 < 10^{-18} \, \text{m}
库仑定律
- 标量式:F = k \dfrac{q_1 q_2}{r^2}
- 矢量式:\vec{F} = k \dfrac{q_1 q_2}{r^2} \vec{e}_r
其中,k = \dfrac{1}{4\pi \varepsilon_0},\varepsilon_0 = 8.851 \times 10^{-12} \, \text{C}^2/\text{N} \cdot \text{m}^2 是真空介电常数
电力叠加原理
电场强度
试验电荷条件
- (正)点电荷—可以准确测量电场的分布
- 电量足够小—不显著地影响电场的分布
电场强度方向为正电荷所受电场力的方向
电场强度定义
于是,对于电场内的任一电荷,其受到的力 \vec{F} = q\vec{E}。
场强叠加原理
注意:场强叠加原理是电场力叠加的基础。
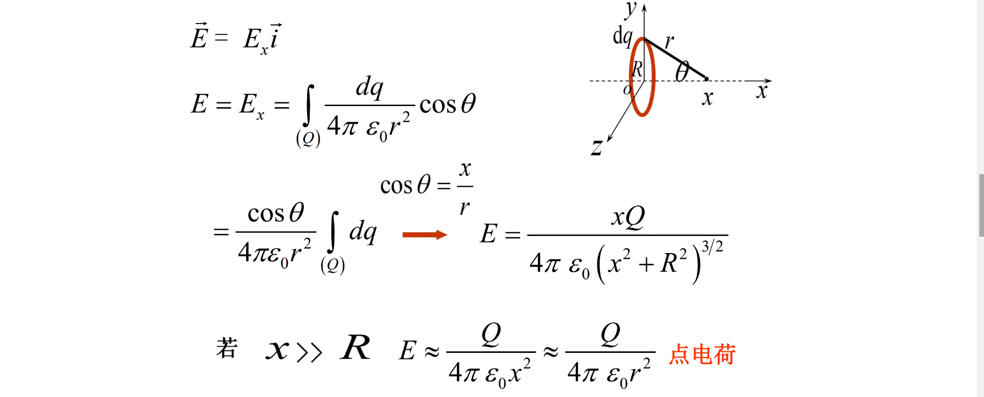
电场强度计算
总览

一维例题


二维例题




无限大平面电场叠加

三维例题

补偿法

高斯定理
描述电场的两种方法:电场线和电通量
电场线
概念

性质
- 电场线起自于正电荷或无穷远,止于负电荷或无穷远,没有电荷处不中断
- 对于静电场不可能出现单一绕向的闭合电场线。
- 两条电场线不会相交,不能相切。
电通量




静电场的高斯定理
真空中的高斯定理

立体角


任意电荷系的静电场


例题



高斯定理求场强










环路定理与电势
环路定理
定理与证明
静电场中,电场强度沿任意闭合路径的环流为零。即\oint\limits_l {\overrightarrow E \cdot d\overrightarrow l = 0}


意义
表明静电场力为保守力,或静电场是保守场,即有心力场
微分形式证明

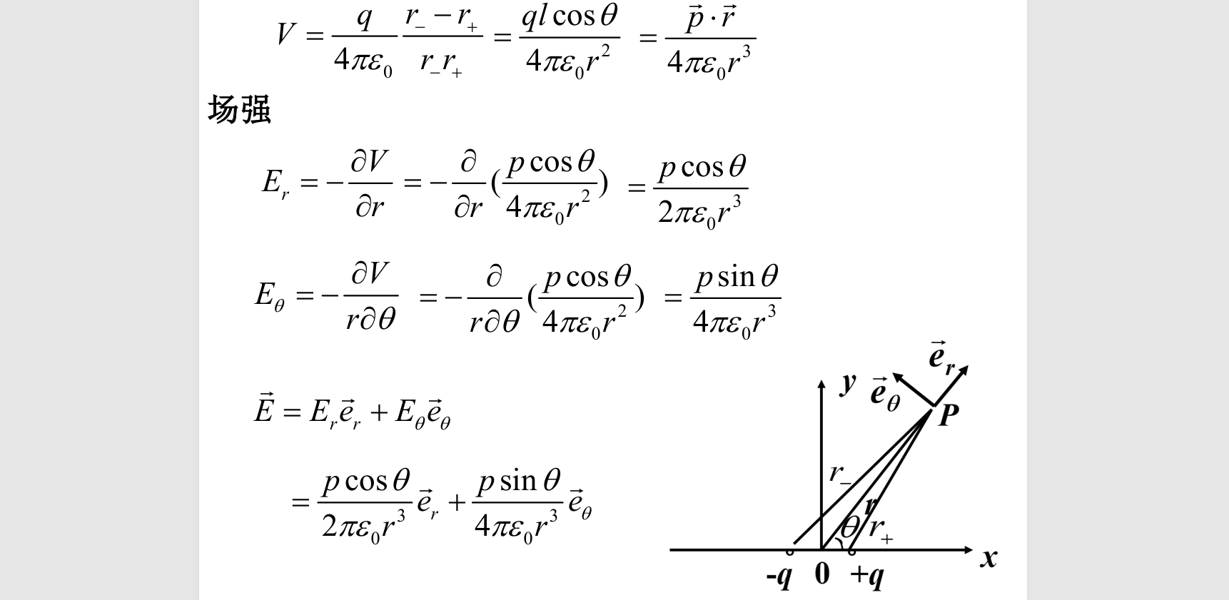
电势差和电势
电势



计算



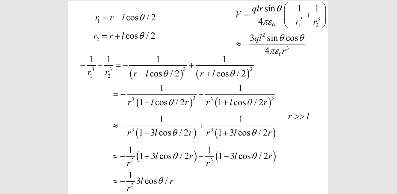
例题
均匀带电球体的电势分布



其中E由取一个box,结合高斯定理计算得出。
电势与电场强度的关系
等势面
将场中相等电势值的各点连成一个连续的曲面
- 电荷沿等势面移动,电场力不做功
- 电场强度与等势面正交
- 相邻等势面间距小处,场强大;间距大处,场强小
电势梯度




一堆例题
























默认评论
Halo系统提供的评论