大学物理-导体电学
导体的静电平衡性质
导体的带电和静电感应





导体静电平衡时的性质

静电平衡时导体上电荷的分布(实心导体 )






静电平衡时导体上电荷的分布

静电平衡时导体上电荷的分布

静电屏蔽的装置






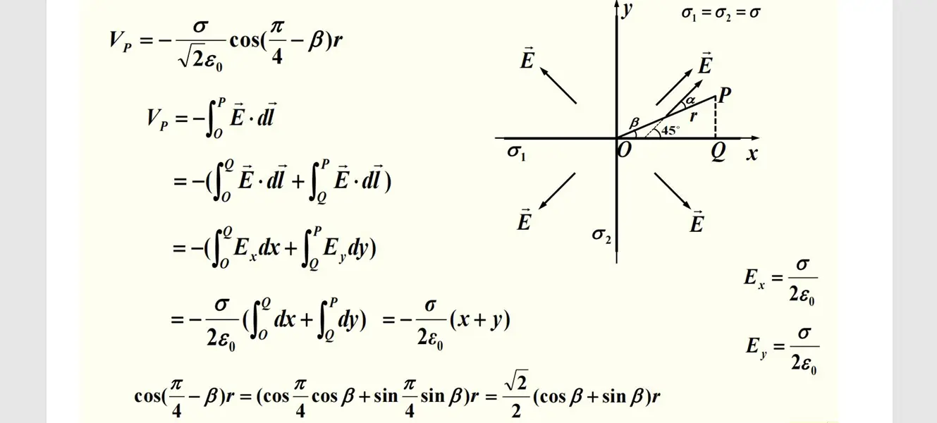
例题











静电场唯一性定理
电势与电场强度关系

静电边值问题

静电场唯一性定理





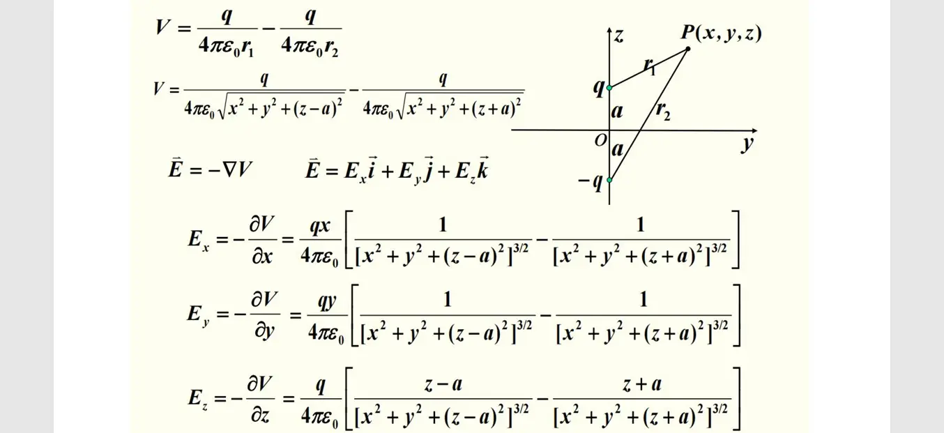
静电屏蔽原理/镜像法





例题




电容器和电容
孤立导体电容


电容器的电容

几种常见电容器
平板电容器

球形电容器

柱形电容器

电容器的联接
串联

并联

例题


传导电流
传导电流
传导电流

运流电流

电流强度

电流密度



欧姆定律





焦耳定律

超导体



电动势
电源



稳恒电路中的稳恒电场



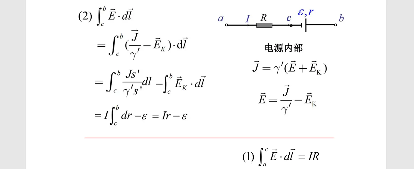
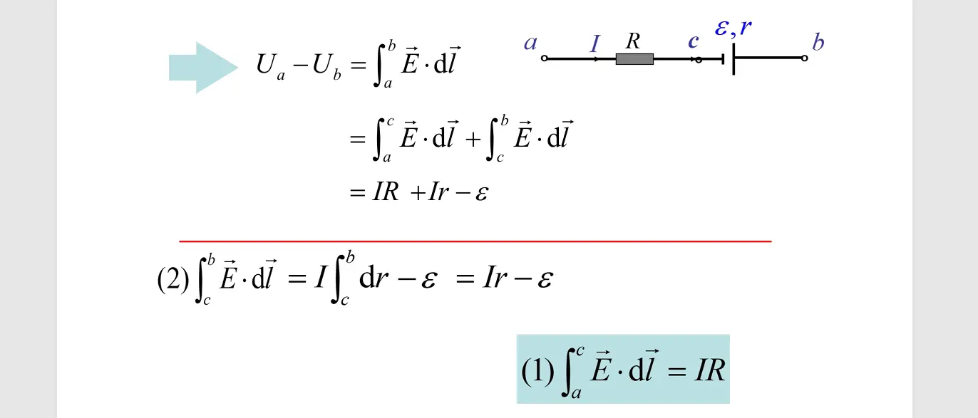
电路中两点的电势差
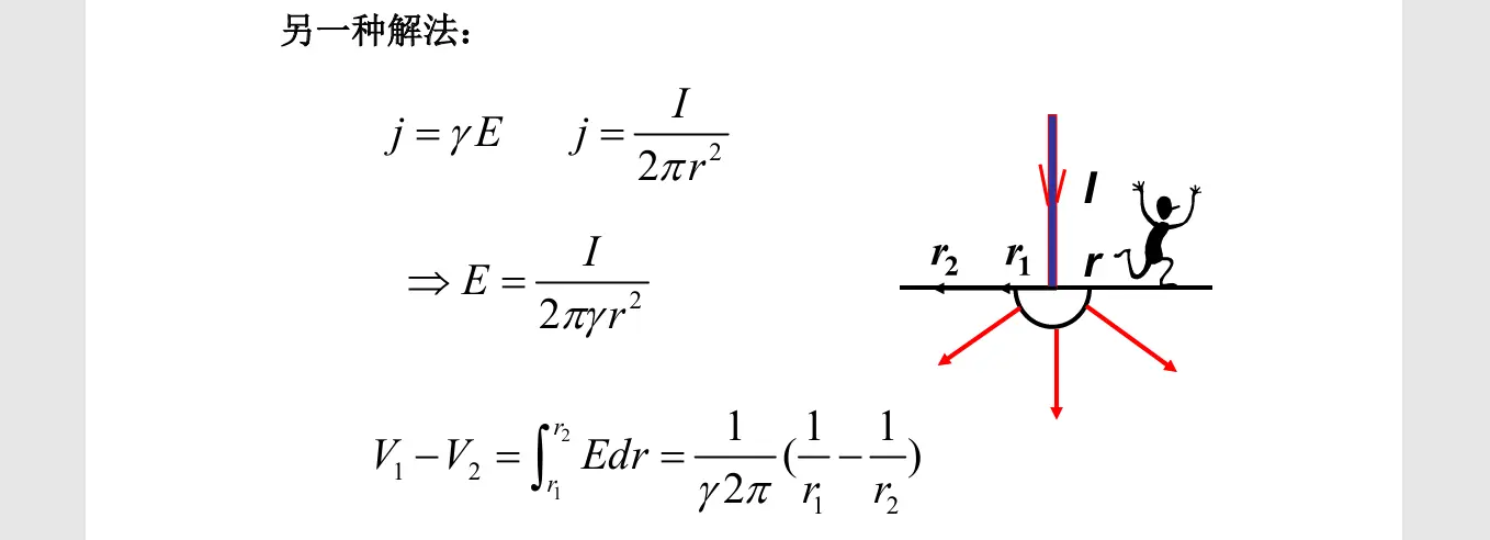
计算方法



例题




基尔霍夫定律
例题

例题









默认评论
Halo系统提供的评论